29+ 근로장려금 산정표 Background

29+ 근로장려금 산정표 Background. 근로장려금이란, 소득이 적어 생활이 어려운 개인, 개인사업자에 대해 가구원 구성과 총급여액 등에 따라 산정된 근로장려금을 지급함으로써 근로를 장려하고 실질소득을. 근로장려금 신청 안내를 받은 경우 홈택스 웹사이트, ars, 홈택스 모바일앱을 통해 신청 가능합니다.

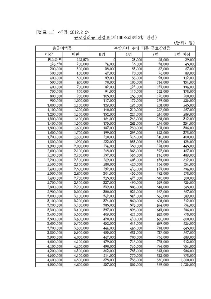
근로장려금 지급 완료 산정기준
근로장려금 지급 완료 산정기준 from blog.kakaocdn.net
2019 근로장려금이 오늘(25일)부터 사전 신청을 받으면서 신청 방법과 기준에 관심이 집중되고 있다. 2019 근로장려금 신청자격 사진=국세청 홈페이지 캡처. 2020년 근로장려금 반기 신청자격 자격요건 핵심방출.

근로장려금 지급은 가구 별 지급입니다.

#근로장려금 #근로장려금반기신청 #홈택스시간 쪼개가며 일했는데 생활비가 턱없이 부족한 사람들 주목!근로장려금을 신청하면 최대 300만 원까지 받으면서 일할 수 있대.3월 1일부터 반기신청. 국세청은 이번 기한 후 신청기간에 근로장려금을. 이로써 근로장려금 제도를 통한 소득재분배 효과도 기대할 수 있습니다. 근로장려금 신청 안내를 받은 경우 홈택스 웹사이트, ars, 홈택스 모바일앱을 통해 신청 가능합니다.


Next Post Previous Post
No Comment
Add Comment
comment url